Update on Patent Practice in Myanmar

IN BRIEF
Myanmar Patent Law (MPTL) 2019 came into effect on May 31, 2024 as per Notification No. 106/2024 issued by the State Administration Council (SAC) dated on June 01, 2024. And the Ministry of Commerce issued the Patent Rules on June 04, 2024 as per Notification No. 43/2024. The key objective of these announcements is to protect the rights and interests of the patentee and the inventor.
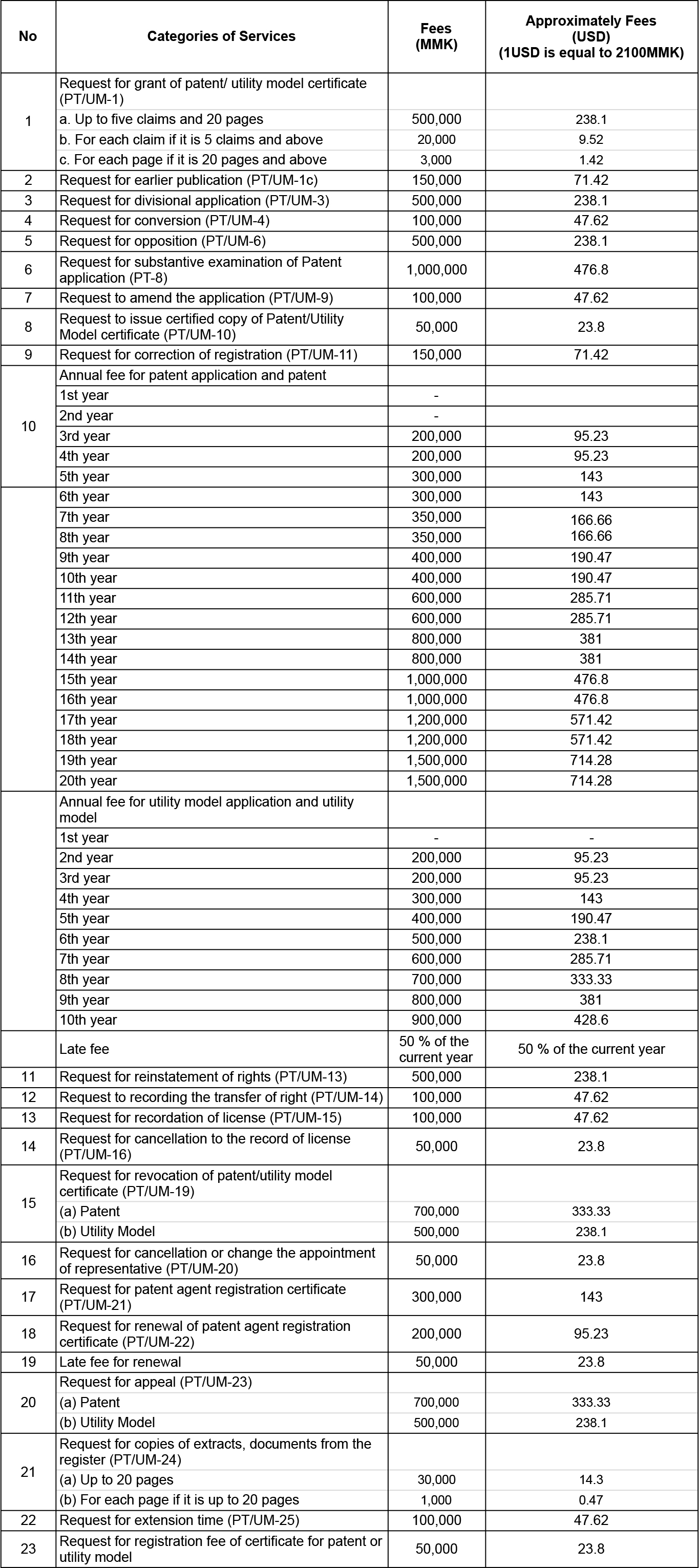
The Intellectual Property Agency issued a Notification No. 2/2024 on October 22, 2024, which outlines the official fees related to applying for patent and utility model registration as well as registration of patent agent.

KEY TAKEAWAYS:
- Acceptance of patent and utility model application
The Ministry of Commerce (MOC) officially accepted an application of patent and utility model starting from October 31, 2024.
- Application of patent or utility model
Applications can be filed to the Intellectual Property Department individual or jointly. And also, the company can be filed Applications.
The patent applications may be prepared in eighter Myanmar or English languages. Applications may be submitted through E-filing in person at the Intellectual Property Department (IPD), or by Post with the proof of payment and using the application form (PT/UM-1). If the Registrar requests to translate in eighter Myanmar language to English language and English language to Myanmar language, the translation shall be made and certify if the translation is made.
The applicants must request the application examination in details within 36 months from the date of application and pay the registration fee and request the Registration Officer. If it is not made within the specified period, the patent application shall be considered forfeited. Applications that do not meet the requirements will be revoked within 60 days from the date of receipt of the notice. The Registrar will announce it to the public 18 months from the filing date or if requested to announce earlier, it will be announced on requested date. Those who wish to object can submit an objection to the Registrar within 90 days from the date of issue and pay the prescribed fee.
- Applicant
The applicant must provide the following information in the patent and utility model application
- A request for the grant of a patent or utility model;
- The name, nationality and address of the applicant, legal entity or inventor;
- The name, identity card number and address of the representative or agent, if applying with a representative or agent. The application form (PT/UM-2) must be attached.
- A full description of the invention;
- The patent or utility model name and summary description of the patent;
- One or more claims for a patent or utility model as prescribed;
The below information may be attached, if necessary.
- The address and State name, if the applicant has an effective industrial or business;
- The registration number, legal entity type and State name, if the applicant is applying as a legal entity;
- Drawings to understand of the invention;
- A priority claim, if the applicant requests for priority claim;
- If the applicant wishes to take advantage of any protection resulting from the display of goods to which the invention applies in an international exhibition, a declaration claiming the exhibition priority along with supporting evidences;
- A Written agreement, if the applicant applies and sign jointly;
- The disclosure of access to genetic or biological resources and any element of traditional knowledge associated or not with those resources and that was directly or indirectly used in the making of the claimed invention;
- A request for early publication;
- Types of patentable invention
- New inventions
- Includes a level of innovation
- Industrial application
- Registrability of a Utility Model
An invention that is new and can be used in industrially, can be registered as a utility model. Inventions Ineligible for Protection, must be the following models
- Discoveries, scientific theories and mathematical calculations;
- Systems, rules and regulations or methods relating to conducting business, pure psychology, or games;
- Pure computer programs;
- Biological production processes mainly used for growing plants or rearing animals except for non-biological and microbiological production processes;
- Plants and organisms including all organism and plant species, DNA –including complementary DNA sequences, cells, cell lines, cell cultures and seeds, including whole or part of organisms and biological materials found in nature, with the exception of man-made microbiological organisms;
- Surgical methods or treatment methods for the bodies of humans and animals including methods of diagnosis discovered through experiments conducted on the human and animals’ bodies;
- Inventions related to objects that are known to the public or chemical products that are prescribed as necessary, including objects existing in nature, new methods of usage and new forms;
- Inventions that are detrimental to public morale, order, human beings, animals, plants, health or the environment and inventions for which use is prohibited by any existing law within the territory of the Union.
- Pharmaceutical products or production processes which are ineligible for patent protection until January 01, 2033, unless specified otherwise by the Union Government.
- Utility model Inventions Ineligible for protection
- Procedures;
- Chemical, pharmaceutical, biological, or metallurgical of or any other kind of substances or compounds; and
- Items excluded from patent protection for inventions under this Law.
- Sculptures, architectures or ornamental existing in nature.
- Duration of Patent and Utility Model
The duration of a patent is 20 years and the duration of a utility model is 10 years from the filing date. The annual fee must be paid to maintain yearly.
Author
Related Practices
- IP


.png)
.jpg)



